通报
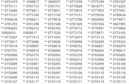
2025年9月低价链接下架106条,恢复正价159条。终止营销人员资格114人。终止的营销人员有:

            声明:直了网是非商业类网站所载的文字图片等稿件均出于为公众传播有益资讯信息之目的,并不意味着赞同其观点或证实其内容的真实性,我们不对其科学性、严肃性等作任何形式的保证。凡本网站转载的所有的文章、图片、音频、视频文件等资料的版权归版权所有人所有,本站采用的非本站原创文章及图片等内容无法一一和版权者联系,如果本网所选内容的文章作者及编辑认为其作品不宜上网供大家浏览,或不应无偿使用(涉及费用问题,需要删除“不宜上网供大家浏览,或不应无偿使用”)请及时用电子邮件或电话通知我们,我们将迅速采取适当措施,避免给双方造成不必要的经济损失。
      
		 直了网
直了网 五年研发 康宝莱颠覆式创新推出可烘焙奶昔
            			五年研发 康宝莱颠覆式创新推出可烘焙奶昔            		 近日,由中国市场监管报社主办的“规范食品保健食品宣传 共建社会共治新格局”交流会在京举行。
            			近日,由中国市场监管报社主办的“规范食品保健食品宣传 共建社会共治新格局”交流会在京举行。            		 全球知名的健康公司康宝莱前不久受邀出席了在南京举办的第六届中国质量大会,全方位介绍了公司以“种子到餐桌”体系为核心的质量管理创新实践。
            			全球知名的健康公司康宝莱前不久受邀出席了在南京举办的第六届中国质量大会,全方位介绍了公司以“种子到餐桌”体系为核心的质量管理创新实践。            		 在2025年全国“质量月”活动中,康宝莱积极参加了由中国质量检验协会组织的“企业质量诚信倡议”专题活动。
            			在2025年全国“质量月”活动中,康宝莱积极参加了由中国质量检验协会组织的“企业质量诚信倡议”专题活动。            		 
                 
                 
                